Method to determine the state of the
humoral immune system in a patient
AGRA – Acellular growth retardation ability
Granted patent in Europe(EP3431988B1)
Granted patent in Europe(EP3431988B1)
Bacterial infections in patients with cirrhosis are a frequent and life-threatening complication, which are difficult to predict.
Currently, it is not possible to reliably predict susceptibility and the risk of infection in cirrhosis. Therefore, tools to predict severe infections are an urgent clinical need and will help to reach the goal of precision medicine.
Kaplan-Meier-curve for the probability to live without infection. Patients with high AGRA have a significantly higher risk to develop infections compared to patients with low AGRA.
Kaplan-Meier-curve for the probability to live without infection. Patients with high AGRA have a significantly higher risk to develop infections compared to patients with low AGRA.
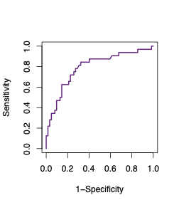
We invented AGRA, a reliable, easy-to-assess, functional biomarker with the possibility for fully automated handling that utilizes the growth tendencies of a specific strain of bacteria in human serum to predict the outcome of a patient.
AGRA predicts the occurrence of severe infections in patients with liver cirrhosis, accurately identifies patients at risk of infections, tracks treatment success and helps to create personalized risk-assessment and treatment of patients with liver cirrhosis.
We believe in further applications of AGRA beyond liver disease and are actively looking for partners to join our research.
AGRA in patients who will develop a severe infection in the next 36 months, or not.
Read our blog post to AGRA